《展拓香港界址专条》:1997年7月1日香港回归中国的远因
《展拓香港界址专条》:1997年7月1日香港回归中国的远因

1894年,时任香港立法局非官守议员遮打向港督罗便臣提出扩展九龙界址。当时香港岛和九龙半岛无险可守,而维多利亚港也不是全属英国管辖,有部分地区还属于清政府。一旦其他敌对的欧洲势力攻入香港,或在大屿山等离岛驻扎,香港难以守卫。
当时香港岛人口密集,并有鼠疫流行,所以英国人认为有必要分散人口来降低风险;而且,香港岛和九龙半岛的粮食生产做不到自给自足,工业发展更需要大量土地。
此议一出,迅速得到了当时香港总商会、香港中华会馆和海军联盟的积极响应,尤其是后者出力最大。英国海军和陆军从防务角度出发,也随声附和。最后,由港督罗便臣疏通了英国政府,再由英国驻华公使窦纳乐出面与清政府谈判。
到了1898年3月27日,俄国与清政府签署了《旅大租地条约》,租出旅顺和大连共25年。此举引起了英国不安,便向清廷租借威海卫25年,还签署了《订租威海卫专条》。这次谈判中,英国留下活话,说如果未来广东、广西地区向列强再有任何租借,则英国会另要求租地以求平衡。
1898年4月,法国向清政府提出在南部海岸建立煤栈,要求清廷租出广东西部的广州湾给它(事实是,到了1899年11月16日,清政府租借广州湾给了法国)。
这正是英国求之不得的借口。英国立即以平衡势力为由,命窦纳乐与清政府谈判,要求香港北扩200英里。

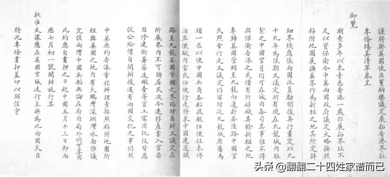
1898年6月9日(光绪二十四年五月十三日),中英正式签订了《展拓香港界址专条》,太子太傅李鸿章和经筵讲官许应骙出席签字仪式。英国得到了九龙界限街以北、深圳河以南地区及附近200多个离岛,将香港境址扩展到后海湾同大鹏湾水面。专条为期99年,到1997年6月30日届满。但当时清政府坚持保留九龙寨城管治权,继续在该处派驻官员。
1898年7月1日,租借正式生效。此条约原件现藏于台北市故宫博物院和英国国家档案馆。
1898年8月,香港辅政司骆克开始勘探新界,直到转年的3月完成了定界。
1899年3月19日,中方代表王存善与英国签订《香港英新租界合同》。4月17日,英方于大埔运头角举行升旗礼,实质接管了新界地区。5月,英军强占九龙城,驱赶守城官员和城内居民。
到了1970年代中期,香港商界开始关注专条约满的问题。1979年3月,港督麦理浩爵士首度访问大陆,引伸出后来的香港前途谈判。此《展拓香港界址专条》也是香港主权移交中华人民共和国的远因。

标签:
138
《斩,赤红之瞳》玛茵:坚强与傲娇并存 玛茵拥有一对粉红色的长马尾,和自身同为粉色的长裙很搭,双瞳也都是粉色的,整体粉红无时无刻不透露出可爱的少女气质,每句话后有非常...
147
《渣男现形记》李晨插刀印小天?当年可是“插刀教”的副教主! 昨天,一篇《渣男李晨现形记》霸占了朋友圈和微博,还牵出了一桩陈年旧案: 李晨插刀印小天。 提起印小天,很多...
160
《择天记》女配许龄月,曾被传倒贴鹿晗,她到底什么来头? 在热播的电视剧《择天记》之中,很多网友都知道这部电视剧的颜值很高吧,许龄月吴倩姚笛,个个颜值不输女主古力娜扎...
108
《约会大作战》狂三外传来袭,失忆狂三异界游,你是否期待 说起《约会大作战》,很多人第一时间就会回忆起那个带着病娇邪魅的美少女,时崎狂三。在整部《约会大作战》中狂三虽...
115
《远大前程》“一元CP”私奔 四角关系终“崩盘” “虽然现在的洪三元(陈思诚饰)顺风顺水,但剧情总有一种‘山雨欲来风满楼’的感觉”。今晚的剧情中,看似已经稳定的各方关系...
154
《遇见你真好》陈溥江的情商都被智商占据了?心疼一旁的郑晓雯! 题记:《遇见你真好》陈溥江的情商让人堪忧?无视一旁的晓雯受冷?在节目《遇见你真好》中,陈溥江的想法,真...
131
《预言》-何其芳 今天介绍的是《预言》,是现代诗人何其芳1931年秋创作的一首诗,后收入《汉园集》。该诗是一首抒情诗,全诗共分六节。诗人将“年轻的神”作为全诗的线索,倾诉...
277
《雨中冒险2》道具图鉴大全 玩过《雨中冒险2》这款游戏的玩家都知道,在该游戏里,游戏道具有很多,其效果和作用也是各式各样,对于新手玩家而言,了解这些道具的作用就至关重...
116
《与君初相识·恰似故人归》藏着的诗词,你肯定没发现 最近由迪丽热巴与任嘉伦主演的电视剧《与君初相识·恰似故人归》正在热播,且不说剧的内容如何,剧名是不是很有古风美的...
163
《余罪3》定档年底, 男主疑换人情节略删减, 网友“还是余罪吗” 张一山最近几年可以说是当红的流量小生了,也是少数从童星中发展到现在依旧被观众认可的一位演员之一了。而电视...
207
《诱人的后母王洋苏蕊》-完结小说 《诱人的后母》小说全文免费在线阅读【完结+番外】「无弹窗+百度云」。 主角:王洋,苏蕊。 《诱人的后母》目录 第1章 免费 第2章 免费 第3章 免...
80
《幼稚完》后可以有《幼稚未完》,但《雷霆扫毒》却没有然后了 2月14日情人节,听了#林峯#的新歌《幼稚未完》,循环听了十多遍,倒不是因为这首新歌有多好听,主要是,听着听着...
95
《又见一帘幽梦》女主现状:张嘉倪宣布怀二胎,她至今无人娶 4月24日早上,张嘉倪高调宣布“我们一家三口要变成一家四口啦 谢谢大家关心和祝福 ”,这是高调得宣布自己即将拥有...
190
《有何不可》这么火也敢抄? 有网友发现,罗聪的新歌《简单的幸福》与许嵩的《有何不可》存在多处旋律相近,怀疑前者抄袭了后者的歌曲。 随后,罗聪公司孔雀音乐晒出简谱否认,...
178
《游戏王》之武藤游戏的那些梗 游戏王作为一部经典动漫,可以说从一代到现在的七代,身上的梗从来就不少。下面就来为大家来盘点一下,有关于第一代主角武藤游戏身上那些经典梗...
90
《勇敢的心》霍啸林,要想虎啸山林,必须有一颗勇敢的心 《勇敢的心》是由郭靖宇导演,杨志刚、于毅等主演,讲述了霍啸林得罪了保安司令赵金虎,逃出西阳。赵金虎化妆成土匪杀...
59
《英雄联盟故事汇》—炼金术士辛吉德全解析 英雄联盟故事汇,你知道的和不知道的英雄联盟背景知识、皮肤彩蛋、天赋符文、技能攻略全在这里 我们玩的不是游戏,是英雄。——行...
114
《英雄联盟》被忽视的强力符文:高额双穿轻松获取 全新的符文系统已经上线数个版本,各个英雄也都找到了属于他们的专属符文。但符文系统并非一成不变,还有一些被我们忽视的强...
206
《英雄联盟》:诺手想玩一刀流,装备你要这么出 诺克萨斯之手 ,绰号 小学生之手 ,同时他也是召唤师峡谷的 上路质检员 。 诺手 操作简单,玩法却很多样。 在近期, 一刀流诺手...
164
《英儿》:顾城绝笔之作- 畸恋下,激流岛上“女儿国”的幻灭 导语:这是一个悲剧。太过纵容的爱,最后往往会变成绳索,勒住自己和对方的脖子。 相关内容: 《麦琪的礼物》| 解锁...