团子讲数学-矩阵除法
大家好,今天我们来讲矩阵除法。上一次,我们说过了怎么做乘法,其实除法里面也包含了乘法的。
团子录制了一个视频讲如何做矩阵除法,欢迎观看!https://c.quk.cc/3/b95/d1lul2ktpyn />
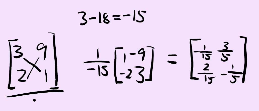
这里我们来说一说二阶矩阵里,如何找行列式。其实只要交叉相乘,再相减 就可以了,比如这个例子:

这就是行列式。知道了一个矩阵的行列式,就可以找它的倒数了。
对于找矩阵的倒数有一个公式,如果这个矩阵是(a,b)/(c,d)
那它的倒数就是:

知道了怎么找一个矩阵的倒数,就可以做矩阵除法啦!我们只要找到除数的倒数,再用被除数乘以它就可以了。比如:

要找到除数的倒数:

然后用被除数乘以它(黄笔):

这个就是矩阵的除法。
现在,我们来公布上次谜题的答案:
问题:你的父母有包括你在内的六个儿子,每个儿子都有一个姐姐。 请问,这个家庭有几口人?
答案:九个。 两个父母,六个儿子和一个女儿。 他们都有一个姐姐(不是六个姐姐)。
现在进入今天的趣味谜题:你离开你的营地,向南徒步3英里。 向东转,走了3英里。 然后转北,徒步3英里,这时你碰到你的帐篷里的一只熊在吃你的食物! 请问,熊是什么颜色的?
答案我们下一篇文章公布
标签:
167
甜美诱惑《五十度灰》女主 达科塔约翰逊时尚大片赏 《五十度灰》的女主角扮演者“达妹”达科塔·约翰逊近日登上了美版《Marie Claire》杂志的夏季封面,这一次的达妹看起来甜美又性...
95
北京门头沟灵山 门头沟的灵山是北京最高的山峰,从南面的峡谷古道跋涉,穿过密林、溪水和陡坡爬到山顶一览众山,途中美景不断,花草遍地。从主峰鸟瞰美景,不禁感叹犹如置身仙...
207
lol青训营有哪些-老司机教你选 这几年,lol已经不再只是简单的游戏了,而是作为电竞游戏之一,已经多次的在比赛中获的了不少的奖项和认可,而且也是越来越多的人喜欢这款游戏,...
243
猪流感的症状表现与如何防治 适逢高温季节,猪流感频发,让很多养猪人感到头痛,今天小编就给大家讲讲猪流感的症状与预防治疗。猪流感顾名思义就是指猪的流行性感冒,这个季节...
243
怎么转账到别人的银行卡上? 第一、通过银行自助柜员机将钱转到别人的银行卡上 我们可以通过银行自助柜员机将钱转账到别人的银行卡上,有两种方式可以完成转账,一种是用现金...
95
云扬号事件 1875年9月,日本海军少佐井上良馨指挥云扬号在朝鲜江华岛海域进行测量,并以索要补给为名,派出小艇进入汉江。江华岛炮台开炮还击,击伤2名日军士兵。云扬号实施报复...
143
还记得之前很火的“工号9527”吗,终于见到真人了! 你们还记得曾经很火的“工号9527”吗? 当年听了好多遍录音 这回终于见到真人了.........
151
珀斯的“珀”怎么读? 根据《现代汉语词典》(第七版),“珀”是一个单音字,读pò(第四声)。 珀斯:澳大利亚西南部的一座城市。...
141
赵小乔出席活动 赵小乔出席活动...
100
“预定” 用英语怎么说? make a reservation/book 预定 双语例句: Is it too late for me to make a reservation? 我现在预定的话会不会太晚了?...
108
世界上拥有核武器的国家 世界上拥有核武器的国家有十个:1美国 、2俄罗斯、 3中国、 4英国、5法国、6印度、7巴基斯坦、8朝鲜、9以色列、10日本。什么日本?是的!美国曾经送日本两...
151
刘芸晒10岁儿子近照 帅气十足酷似爸爸郑钧 4月8日,刘芸在社交媒体上发布了一个儿子的玩耍视频,可以看出小郑钧颜值非常高,眉宇间帅气十足,酷似爸爸郑钧。...
188
“吊灯” 用英文怎么说? ceiling lamp 英 [ˈsi:liŋ læmp] 吊灯 双语例句: Can you tell me the price of that ceiling lamp ? 那盏吸顶灯的价格是多少?...
175
“丁零零”该怎么读 今天陪孩子上课,课文中有句话是“丁零零,闹钟响了”,其中“零零”标注的拼音是二声,印象里和日常中都说轻生,听孩子读的挺别扭呢,有哪位大神能解答一...
220
受到技能效果“沉默”时,无法施放技能,可以进行普攻吗? 受到技能效果“沉默”时,无法施放技能,可以进行普攻吗? 答案是:可以使用普攻,不能使用技能与普攻那是被眩晕(...
199
1949年我党公布的国民党57名战犯...
85
我理解的高级玩家 所谓的高级玩家都是级别特别高的,套路深方法多,出手不凡异于他人的想法出牌,往往能做出令人难以想象,粗暴的不安常理出牌的玩家,可能会落到道德沦丧甚至...
195
“考拉” 用英语怎么说? 考拉 koala 英 [kəʊˈɑ:lə] 考拉 双语例句: Koala and humans are the only animals with unique fingerprints. 世界上只有考拉和人类有独特的指纹!...
150
手游梦100与黑执事联动,夏尔觉醒 黑执事 x 梦100 大型联动 夏尔觉醒 2月18日开始...
200
“人渣”用英语怎么说? douchebag[‘duʃbæɡ] 人渣 As long as I never have to date another douchebag again. 只要我不必再和 人渣 约会。...