反比例函数的图像
在初中数学课本中,我们学习了反比例函数,但是关于反比例函数的图像,大家了解多少呐,下面我就为大家总结一下:

反比例函数的图象:
反比例函数的图像是双曲线,它有两个分支,这两个分支分别位于第一、三象限,或第二、四象限,它们关于原点对称。由于反比例函数中自变量x≠0,函数y≠0,所以,它的图像与x轴、y轴都没有交点,即双曲线的两个分支无限接近坐标轴,但永远达不到坐标轴。
反比例函数的图像属于以原点为对称中心的中心对称的双曲线,反比例函数图像中每一象限的每一支曲线会无限接近X轴Y轴但不会与坐标轴相交(y≠0)。

反比例函数图象的画法:
(1)列表:

(2)描点:在平面直角坐标系中标出点。
(3)连线:用平滑的曲线连接点。
当双曲线在一三象限,K>0,在每个象限内,Y随X的增大而减小。
当双曲线在二四象限,K<0,在每个象限内,Y随X的增大而增大。
常见画法当两个数相等时那么曲线呈弯月型。
k的意义及应用:
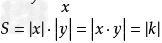
过反比例函数

(k≠0),图像上一点P(x,y),作两坐标轴的垂线,两垂足、原点、P点组成一个矩形,矩形的面积

过反比例函数过一点,作垂线,三角形的面积为

研究函数问题要透视函数的本质特征。反比例函数中,比例系数k有一个很重要的几何意义,那就是:过反比例函数图象上任一点P作x轴、y轴的垂线PM、PN,垂足为M、N则矩形PMON的面积

所以,对双曲线上任意一点作x轴、y轴的垂线,它们与x轴、y轴所围成的矩形面积为常数。从而有k的绝对值。在解有关反比例函数的问题时,若能灵活运用反比例函数中k的几何意义,会给解题带来很多方便。

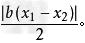
推论内容:一次函数y=x+b或y=-x+b若与反比例函数

存在两个交点,若设2点的横坐标分别为x1,x2,那么这两个交点与原点连线和两点之间的连线所构成的三角形面积为

不同象限分比例函数图像:

常见画法:

以上就是我为大家做的总结,希望这些内容在以后数学试题的联系中会起到一定的帮助,祝大家学业有成。
标签:
132
PCX劲敌来了!雅马哈进口NMAX155上市,售价2.58万,标配ABS系统 相信最近一段时间,不少车友都得知了雅马哈在国内上线全新车型的消息,更令人惊讶的是,这款车虽然是采用全新进口的...
205
中国抗日青年军:一寸山河一寸血,十万青年十万军 1944年,日军经湖南、广西,长驱直入贵州边境,重庆震动。图为中国青年军成立大会。 为应付当时的局势,蒋介石提出“一寸河山...
97
万芳舟杀入《美少女》总决选 能否逆袭夺冠成悬念 东方卫视大型原创少女组合励志成长节目《加油!美少女》总决选即将打响。心动计划签约训练生万芳舟在经历了重重考核之后杀入...
153
赏漫山红叶,品田园家常,女娲神话之乡娲皇谷 导语:赏漫山红叶,品田园家常,女娲神话之乡娲皇谷 比起春的花丛烂漫,夏的山水妍妍,冬的素裹银妆,秋便是对四季最好的总结和...
131
汽车蓄电池电压究竟多少为正常电压? 开车的时候总会遇到汽车无法启动的情况,那么我们就要知道汽车蓄电池电压是否正常才能继续排除故障,那么汽车蓄电池电压多少伏为正常呢,...
152
罗雪娟之外的“蛙泳皇后”!12岁进入国家队,退役初期在街头卖菜 说起我们国家的游泳队,尤其是蛙泳的项目,网友们肯定第一个想到的就是有着“蛙泳皇后”之称的罗雪娟。罗雪娟...
136
驾考:计时打卡已经正式开始啦,学时究竟怎么刷? 最新发现, 近期咨询报名驾考的学员,在听到驾校现在的报名费四五千时,表示被惊吓到了, 天价报名费?都不敢去学车了。 打卡...
192
该如何改善爱情中,患得患失的心理 人呐,一生当中常常总是处于有意栽花花不发,无心插柳柳成荫的状态模式,而对于那些自己在乎的人和事又总是会患得患失,仿佛手中沙,越是在...
185
59岁惠英红为何至今未嫁?自曝被贫苦家庭拖累,25岁时错失爱情 惠英红在59年的人生当中,参与拍摄的经典作品不计其数,金马奖、金像奖等荣誉奖项拿到手软,为我国影视行业画上了...
122
为何不建议贴蓝光膜和防窥膜? 不建议大家使用蓝光膜和防窥膜呢?当然特殊的需要除外。现在我就带来市场上普遍的四种钢化膜,通过专业的仪器测出来的数据来告诉你到底是为什么...
200
铜钱乾隆通宝值多少钱 清代乾隆皇帝公元1735年登基,被认为是清帝乾隆登基、铸造“可靠”治国方略的60年,创造了辉煌盛世封建社会,民间流传着穿铜钱乾隆通宝可驱灾除邪,因为它...
163
老鼠最怕的几种声音 老鼠最怕什么声音?今天来讲讲如何用声音成功驱鼠。 和我一样家住农村的人,都会觉得老鼠是个很讨厌很麻烦的动物,不但扰的大家生活不适,而且老鼠屎、老鼠...
132
华夏家博会(昆明站)兰舍硅藻泥完美收官 9月8日—9日第二届华夏家博会在昆明国际会展中心拉开帷幕,兰舍硅藻泥场面火爆,凭借卓越的健康理念,顶级的环保品质以及独特的匠心设...
149
喊话周冬雨:布总你的省钱新发型火了,理发店应接不暇,你知道吗 第一次认识周冬雨,是在《七月与安生》里,开朗活泼的她,充满激情,小小的个子,却蕴藏着超大的爆发力。关注...
143
高颜值韩国腐剧大盘点,那些你不知道的基情,腐女看过来 请注意,高颜值韩国腐剧大盘点,腐女看过来 作为众多腐女中的一员,想要给大家推荐几部高颜值的韩国腐剧。这几年,美...
171
一代女皇武则天,她的原名究竟叫什么? 武则天作为中国历史上唯一的一个女皇帝,可谓是“前无来者后无古人”的帝王,关于她的故事也是非常 之多,那么她原名叫什么呢? 武则天...
233
她曾任北京副市长,儿科医生出身,64岁成为副国级领导,活到88岁 中国医疗事业的奠基者:何鲁丽的生平与贡献 命运常常为我们编织出一段引人注目的故事。1942年1月,日军驻华总司...
136
赛尔号5月17日活动预告:魔眼凯兮新进阶 平民战神级精灵魔钰回归 赛尔号有关5月17日的相关活动预告在近日正式公开了,本周的登场的新精灵数量不少,活动内容也是相当丰富的,来...
172
来看看票房破百亿的九位影坛猛将,哪个最实至名归? Hello,大家好!今天的你们都开心了吗?都在忙些什么呢?今天要和大家一起来看看猫眼数据那些票房破百亿的九位影坛猛将,看...
157
快餐店革新推出K BAR概念,荔枝火龙果莫吉托有点微醺 什么是莫吉托?莫吉托是一款纯正朗姆酒风味的水果饮料。 有人吐槽林允这个造型很夸张搞怪,我觉得挺好看的呀!俏皮的味道,...