大学数学的《费马定理》应该怎样理解?可以解决哪些知识
大学数学的《费马定理》应该怎样理解?可以解决哪些知识
微分中值定理中核心的定理当属拉格朗日中值定理,费马定理是一个引理,也可看着是它的预备定理,罗尔定理是它的特例,柯西定理是它的拓展。

费马是一个法国人,他与笛卡尔一同创立解析几何,又因提出费马大定理、费马小定理而闻名于世。

定理:若函数f(x)在(a,b)内一点 x。处取得最值,且f(x)在点 x。处可导,则f'(x。)=0

几何解释:曲线在最高点或最低点处如果有切线,则切线一定是水平的。
我们来根据以上图形及定理加以证明:
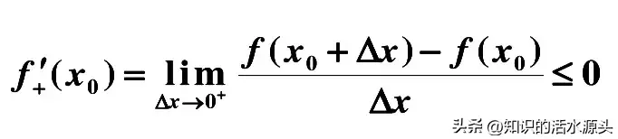
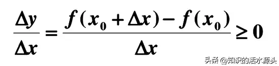
我们假设f(x)在x=xo处达到最大值,在x=xo的某邻域内恒有f(x)≤f(xo),于是对任意Δx≠0(xo+Δx属于该邻域),总是有Δy=f(xo+Δx)-f(xo)≤0.那么
我们分两种情况,当Δx>0时有以下情况成立。

然后再根据极限的保号性:

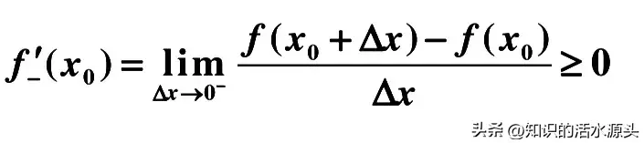
我们根据同样的方法,当Δx<0时有

从而就可以得到

又因为f(x)在x=xo处可导,f'(xo)=f'₊ (xo)=f'₋(xo),即有f'(xo)≥0且f'(xo)≤0,所以 f'(xo)=0.
注意:费马定理的几何意义中,只需要注意是个点即可,1、在xo邻近的一个范围内。2、曲线在xo处要达到最高点或者是最低点。3、在xo处有切线并且可导。
费马定理也可用于证明驻点以及极值点和最值。
知识延伸:驻点就是导数等于零的点,其次就是极值点要么是驻点,要么是不可导点,其中极值点不一定是极值点。
通过学习,我们来看一下例题,以便更好理解:
例题:求f(x)=xeˣ ,x∈(-∞,+∞)的最值。
解:limf(x)=+∞,其中x→+∞,此时无最大值。
令f'(x)=(x+1)eˣ =0,的驻点x=-1
当<-1时,f'(x)<0,此时函数f(x)单调递减。
当>-1时,f'(x)>0,此时函数f(x)单调递增。
所以x=-1时取最小值,f(-1)=-1/e
今天的知识就讲到这里,大家下去过后,可以做一做下面的练习题,以便很好理解该定理。

有不同见解的朋友,可以留言讨论哈,以供大家参考学习。
标签:
117
曹操和蔡文姬到底是什么关系? 大家好,我是小段,今天我们来说说曹操和蔡文姬到底是什么关系? 说到曹操,很多人都会想到他经常会将别人的妻子娶回来吧,的确,曹操的众多妾...
111
北大女硕士当油漆工,网友说人才浪费,本人却称:很享受 北大是我国顶尖学府了,能被录取进北京大学的学生不是天才就是十分勤奋的。当然不是所有的天才和勤奋的人都能进北京大...
92
重庆武隆旅游景点介绍,武隆好玩的景点推荐,武隆必去的五个景点 重庆市武隆区,拥有多个国家五A景点,国家全域旅游示范区,今天我们就来看一下重庆武隆必去的五个景点,一起...
139
还记得童年时《智慧树》的红果果绿泡泡么?两人竟然成了夫妻! 小时分,应该有很多的网友会在放学之后就立即回家,翻开电视机,将台转到CCTV的少儿频道,收看董浩叔叔和金龟子...
88
VMI到底是个什么鬼 VMI vendor manage inventory,字面好理解,卖家管理库存。 关于VMI,也有很多负面的说法,欺压供应商,转移风险到供应商。 关于VMI, 也有很多积极的说法,比如这句话 打...
199
《武庚纪》第三季,再次的定档了,官方表示不再跳票了 大家好,我是动漫吐槽家,看完了之后别忘了关注评论,点赞收藏转发呦! 在最近,最受到关注的一部国产动漫,莫非就是玄...
74
世界上哪些国家拥有核武器?谁拥有的数量最多? 全世界拥有核武器的国家有9个,分别是: 美国 (1945年拥有,当年就轰炸日本) 中国 (1964年拥有) 俄罗斯 (1949年拥有) 法国 (...
199
全球十大超模排行榜,中国上榜一人 #头条创作挑战赛# 1、阿德里亚娜·利马 阿德里亚娜·利马是一位巴西超模,是个混血儿,她有法国、葡萄牙、美国本土和加勒比地区的血统,她本人...
128
彭德怀 (中华人民共和国十大元帅之一) 彭德怀(1898年10月24日-1974年11月29日),名清宗,后改德怀,小名锺伢子,湖南湘潭人,湖南陆军军官讲武堂毕业,军事家、开国元勋,元帅军...
89
马化腾怒斥王思聪表白其女儿传闻 他为什么不喜欢王思聪? 王思聪又有了一个新女朋友,两个人手牵手,还被人拍了下来。 这次爆料的是知名网红凤姐。 不久之前,因为王思聪和新的...
87
复旦网红教授陈果为何被学生“轰炸” 随着互联网的发展,讲师讲课的内容也发布在互联网上,以便其他学生也可以了解。为此,近年来我国诞生了“网红教师”群体。这些在网络上走...
138
盘点价值超过百万的古钱币,真品难得一见,你们有吗? 大家好,中国古代钱币品种丰富,各种版别品种也非常多,那么我们国家的历史上的钱币,有哪些品种的最为少见呢?今天就带...
127
留守农村妇女口述 有一次我回娘家,一位小时玩伴悄悄告诉我,说她在外省打工时,与男同事组成临时夫妻,租房生活。尽管她没有把心和情感交给这位工友,但却长期跟这位工友同居...
127
给越南带来沉重伤害的橙剂到底是什么?它的危害到底有多大 一提起生化武器想必大家都会不由自主地想起生化危机! 在电影中,正因为保护伞公司的生化细菌泄露导致人类变成了丧...
187
电竞黄埔军校YM战队,盘点那些来自YM的LPL选手 或许有很多人都听说过“电竞黄埔军校”这个说法,每当有出身于YM战队的选手出现,下面的评论可能都会提到这个词,那么这个被称为“...
86
地球上的火星基地你了解多少呢? 天问上天了,大家都在讨论天问的将来用途,它未来会给我我们带来什么,为什么是火星而不是其它星,,今天我们不说它上天的事,我们了解一下它...
77
程前的婚姻之路:从与董卿的同居到娶圈外娇妻,60岁大变样的传奇 程前,这位在娱乐圈备受瞩目的男星,他的婚姻之路可谓丰富多彩。从与董卿的同居到50岁时再婚并迎娶一位圈外娇...
159
熊猫倒闭!传奇第一人、熊猫年度总冠军雨神何去何从? 有种情怀叫传奇,有个男人叫雨神。在熊猫tv倒闭之前,经常看熊猫直播的人不可能不知道一位大主播,他就是当今的传奇第一...
226
西楚霸王项羽的父亲是谁?是项超?还是项渠? 前篇《楚汉争霸,项羽最恨不是刘邦,而是他?》写到西楚霸王项羽最恨的人并不是灭他的刘邦而是害他季父的田荣。随后在评论中就有...
72
天津,为什么被称作为风筝之乡? “儿童放学归来早,忙趁东风放纸鸢。”这里的“纸鸢”也就是今天我们常见的风筝,仔细品读似乎“纸鸢”这个名称更有一番韵味。说到风筝,中国...