土方量计算的基本方法
土方量计算的基本方法有平均高度法 和平均断面法 两种。
平均高度法
四方棱柱体法:将施工区域划分为若干个边长等于a 的方格网,每个方格网的土方体积 V 等于底面积 a2 乘四个角点高度的平均值,即:


三角棱柱体法:将每一个方格顺地形的等高线沿对角线划分为两个三角形,然后分别计算每一个三角棱柱体的土方量。

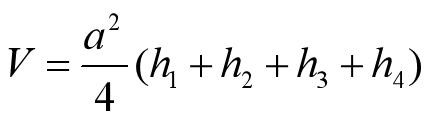
平均断面法


土方量计算的基本方法
土方量计算的基本方法有平均高度法 和平均断面法 两种。
平均高度法
四方棱柱体法:将施工区域划分为若干个边长等于a 的方格网,每个方格网的土方体积 V 等于底面积 a2 乘四个角点高度的平均值,即:


三角棱柱体法:将每一个方格顺地形的等高线沿对角线划分为两个三角形,然后分别计算每一个三角棱柱体的土方量。

平均断面法


世界各国不同版本的世界地图! 中国版世界地图 欧洲版世界地图 俄罗斯版世界地图 澳大利亚版世界地图 美国版世界地图 巴西版世界地图 南极版世界地图 大唐版世界地图 南非版世界...
“中国足球,就是我的命”|独家专访球迷皇帝罗西 今天凌晨5点,中国男足在阿联酋沙迦3:1战胜叙利亚队,成功进入世界杯亚洲区预选赛下一阶段——十二强赛,获得了对2022年卡塔尔...
“君子之交”这个成语经常被人提到,真正的意思该怎么理解呢? “君子之交”,这个成语在日常交往中常常听人说起,那么这个成语出处是哪里?真正的含义又该如何解释呢? “君...
芝士玉米粒做法 芝士玉米粒超详细教程! 软糯的玉米 配上香甜的芝士,加上博满品牌特制的烤盘 。好看又好吃,做法超级简单哦! 1、首先准备,玉米粒,芝士,沙拉酱,豌豆。 2、...
兽世宠文推荐 女主叫林幻幻,是一个穿越者,而且别人穿越都是有衣服的,只有女主穿越没有穿衣服,而且到了一个陌生的大陆,女主没有穿衣服也就算了,竟然还是在河里,面前还有...
菲律宾空姐遭11人集体性侵死亡 生前最后监控曝光:疑似全身僵硬被搬走 1月6日,外媒曝光跨年夜疑遭集体性侵身亡的菲律宾空姐,在酒店的监控视频。监控中空姐全身僵硬,完全失去...
20首清明节经典诗词句句深入人心 清明时节雨纷纷,路上行人欲断魂;岁岁清明,今又清明,春雨润心,暖阳如酥;古人笔下的清明还能是什么样呢?一起和茶茶欣赏关于清明节的20首...
永不卡顿:vivo X9星空灰来袭,新一代颜值王 vivo X9星空灰正式发布啦,首创全墨屏设计,微米级喷砂工艺,比亮黑色iPhone7更加气质不凡。售价依旧为2798。 ▽ vivo X9 全球首创柔光双摄...
小黄鸡跑步表情包合集|冲鸭! 鸡动, 冲鸭, 追我呀, 嗨起来, 冲冲冲, 放学啦, 溜了溜了, 下班啦, 好开心鸭! 图片来自网络,版权归作者使用,特此说明,如有侵权,请与我...
惊!「韩版包伟铭」朴海镇被抓包热恋朴信惠? 以《来自星星的你》走红、有「韩版包伟铭」之称演员朴海镇今(14日)被媒体爆料与《继承者们》女主角朴信惠热恋,还以「朴海镇♥朴...
韩文的介绍 1.韩文介绍: 韩国的文字—韩文(한글)诞生于1446年,由世宗大王创制,是表音文字。 2.字母组成: 韩文由辅音和元音、收音相组合构成,元音有21个,辅音有19个,收音有...
常宁市第三中学校内教学能手比赛圆满结束 新湖南客户端11月6日讯(通讯员 彭湘缘)10月28日至11月4日,常宁市第三中学成功举办了校内教学能手比赛。在为期八天的比赛中,各位参赛...
NBA球队地图分布,喜欢的朋友可以了解一下 我相信很多热爱篮球的人都喜欢看NBA,那么球迷们都知道他们所在球队处于哪个城市,哪个地方吗?喜欢的球迷可以评论,你最喜欢哪个球队...
2019年西安中考84所高中学校录取分数线汇总!附2016-2018分数线 中考录取分数线,是衡量一所高中的最简单的标准,也是家长判断孩子能否被录取的第一依据。2019年,西安中考分数线普...
最简单的凯恩斯主义解释 首先,凯恩斯是个人名。 其次,凯恩斯主义创立于20世纪30年代。由凯恩斯这个英俊帅气小伙创立。 凯恩斯主义的精髓就是在经济萧条时政府要通过财政政策比...
王者荣耀2018kpl春季赛直播在哪看 王者荣耀2018kpl春季赛直播入口 [闽南网] 王者荣耀公布将举行2018kpl春季赛,12支俱乐部将会参与2018kpl春季赛对决。小编分享下王者荣耀2018kpl春季赛直播...
那些充满了洒脱与自由的诗句 一、酒醒只在花前坐,酒醉还来花下眠。 ——明 唐寅《桃花庵歌》 二、须信百年俱是梦,天地阔,且徜徉。 ——元 邵享贞《江城子 江城子 癸丑岁季夏下浣...
脸型变样皮肤黑黑 沈梦辰整容对比照曝光 沈梦辰今昔对比照: 沈梦辰早期取在某模特比赛首次出镜,凭借天生好身材赢得了不少上镜机会,早期容貌也不难看,只是旧照脸型宽宽,不...
朝韩之战 #文章首发挑战赛#在东北亚的版图上,朝韩之间的紧张局势犹如一团不散的乌云。若是双方起了争端,那必将是场震动大地的混战。朝鲜,拥兵120万,金正恩的威望如同高山一...
PS4《胖公主历险记》新DLC发布 两种竞技场 《胖公主》系列游戏是索尼平台上高人气的多人在线游戏,系列游戏系统设定简单,但是却非常好玩,而就在去年年底PS4版本的《胖公主历险...