清新口气的压片薄荷糖真是无糖的吗?看完你就知道了
清新口气的压片薄荷糖真是无糖的吗?看完你就知道了
一般我们在外面吃饭,在结账的时候,有些宾馆的前台或者饭店的收银台就会发一种圆形空心形状的薄荷糖,这种薄荷糖非常的甜,更是能够清新口气。吃完饭后,吃一颗糖,能够促进唾液的产生,有助于我们消化食物,可谓是绝佳的搭配。

但是近几年,随着人们生活条件逐渐优渥,人们的观念开始转变,更多人认为糖是对身体不利的食物,大量的饮食糖果会带来高血糖和糖尿病,所以这种压片薄荷糖的身影开始渐渐离开人们的视野,只有少数的热爱者或高档的酒店进行购买。同时制糖企业也在寻求发展,根据这一现象推出了无糖薄荷糖。但是对于这种糖果,人们还是抱着将信将疑的态度,既然叫糖,真的会不加糖吗?今天,小编就抛砖引玉为大家介绍一下这种无糖的薄荷糖,褪去它神秘的外衣。

既然是无糖薄荷糖,它其中会有糖吗?小编的答案是一定会有!这时候就比较疑惑了,为什么无糖薄荷糖里面有糖为什么还要号称无糖呢?这就要从糖的成分说起了,有人提出如果用糖精岂不是可以代替糖?这样也算是无糖了吧,但是小编要告诉你,糖精是世界卫生组织在2017年发布的致癌物质名单之一,在我国有着明确的规定每千克用量不能高于0.15g。而这无糖薄荷糖中最主要的成分还是山梨糖醇和三氯蔗糖。

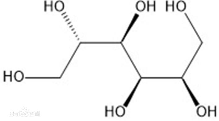
其中的山梨糖醇是是蔷薇科植物的主要光合作用产物。甜度约为蔗糖的一半,热值与蔗糖相近,作为甜味剂使用不会引起龋齿。但是它是带一点毒性的,过多的摄入是会引起腹泻。山梨糖醇有吸湿,保水作用,在口香糖,糖果生产中加入少许可起保持食品柔软,改进组织和减少硬化起砂的作用。用量为百分之八左右,在面包,糕点中用于保水目的,使用量为百分之二左右,用于甜食和食品中能防止在物流过程中变味,还能螯合金属离子,用于罐头饮料和葡萄酒中,可防止因金属离子而引食品混浊。

山梨糖醇
另一种三氯蔗糖是一种高倍甜味剂,在1976年由英国泰莱公司与伦敦大学共同研制并申请专利,三氯蔗糖特点具有无能量,高甜度,纯正甜味,安全度高等,也是目前最理想的甜味剂之一,可达到蔗糖的甜度约600倍。三氯蔗糖在人体内不参与代谢,不被人体吸收,热量值为零,是糖尿病人理想的甜味代用品。

三氯蔗糖
所以,大家在考虑健康的条件下,可以选择购买这类的无糖薄荷糖,来代替糖果,这类糖果并非没有糖,而是说在体内不会转化为葡萄糖被人体吸收,也不会影响肾上腺素,本次的介绍就到这里了,如果有更多想要了解的,欢迎大家在评论区留言~最后感谢大家对小编的支持和认可。
标签:
190
教你如何自己将镜片从眼镜中取出 无论是更换镜片、清洁眼镜还是修理眼镜,有时需要从眼镜框中取出镜片。虽然这听起来可能有些困难,但只要掌握正确的方法,就可以轻松完成。下...
215
家人们!!!一些白酒的下咽小技巧分享给大家... #酒##白酒# 上期给大家分享了白酒下咽为什么会辣,辣的时候怎么处理。这篇文章给大家分享一些白酒的下咽小技巧,怎样喝酒才能品...
202
红中牌麻将技巧8个,学会都变成麻将高手了!82岁钟老太亲授经验 麻将是一项古老而受欢迎的游戏,对于很多人来说,它不仅仅是一种娱乐方式,更是一种社交交流的工具。在中国,麻...
235
广州“如约学车”平台正式上线运营 “如约学车”平台是在广州市交通部门指导下,由广州市机动车驾驶培训行业协会组织建设并运营的“计时培训、计时收费、先培训后付费”的学车...
122
反比例函数的图像 在初中数学课本中,我们学习了反比例函数,但是关于反比例函数的图像,大家了解多少呐,下面我就为大家总结一下: 反比例函数的图象: 反比例函数的图像是双曲...
132
PCX劲敌来了!雅马哈进口NMAX155上市,售价2.58万,标配ABS系统 相信最近一段时间,不少车友都得知了雅马哈在国内上线全新车型的消息,更令人惊讶的是,这款车虽然是采用全新进口的...
205
中国抗日青年军:一寸山河一寸血,十万青年十万军 1944年,日军经湖南、广西,长驱直入贵州边境,重庆震动。图为中国青年军成立大会。 为应付当时的局势,蒋介石提出“一寸河山...
97
万芳舟杀入《美少女》总决选 能否逆袭夺冠成悬念 东方卫视大型原创少女组合励志成长节目《加油!美少女》总决选即将打响。心动计划签约训练生万芳舟在经历了重重考核之后杀入...
153
赏漫山红叶,品田园家常,女娲神话之乡娲皇谷 导语:赏漫山红叶,品田园家常,女娲神话之乡娲皇谷 比起春的花丛烂漫,夏的山水妍妍,冬的素裹银妆,秋便是对四季最好的总结和...
131
汽车蓄电池电压究竟多少为正常电压? 开车的时候总会遇到汽车无法启动的情况,那么我们就要知道汽车蓄电池电压是否正常才能继续排除故障,那么汽车蓄电池电压多少伏为正常呢,...
152
罗雪娟之外的“蛙泳皇后”!12岁进入国家队,退役初期在街头卖菜 说起我们国家的游泳队,尤其是蛙泳的项目,网友们肯定第一个想到的就是有着“蛙泳皇后”之称的罗雪娟。罗雪娟...
136
驾考:计时打卡已经正式开始啦,学时究竟怎么刷? 最新发现, 近期咨询报名驾考的学员,在听到驾校现在的报名费四五千时,表示被惊吓到了, 天价报名费?都不敢去学车了。 打卡...
192
该如何改善爱情中,患得患失的心理 人呐,一生当中常常总是处于有意栽花花不发,无心插柳柳成荫的状态模式,而对于那些自己在乎的人和事又总是会患得患失,仿佛手中沙,越是在...
185
59岁惠英红为何至今未嫁?自曝被贫苦家庭拖累,25岁时错失爱情 惠英红在59年的人生当中,参与拍摄的经典作品不计其数,金马奖、金像奖等荣誉奖项拿到手软,为我国影视行业画上了...
122
为何不建议贴蓝光膜和防窥膜? 不建议大家使用蓝光膜和防窥膜呢?当然特殊的需要除外。现在我就带来市场上普遍的四种钢化膜,通过专业的仪器测出来的数据来告诉你到底是为什么...
200
铜钱乾隆通宝值多少钱 清代乾隆皇帝公元1735年登基,被认为是清帝乾隆登基、铸造“可靠”治国方略的60年,创造了辉煌盛世封建社会,民间流传着穿铜钱乾隆通宝可驱灾除邪,因为它...
163
老鼠最怕的几种声音 老鼠最怕什么声音?今天来讲讲如何用声音成功驱鼠。 和我一样家住农村的人,都会觉得老鼠是个很讨厌很麻烦的动物,不但扰的大家生活不适,而且老鼠屎、老鼠...
132
华夏家博会(昆明站)兰舍硅藻泥完美收官 9月8日—9日第二届华夏家博会在昆明国际会展中心拉开帷幕,兰舍硅藻泥场面火爆,凭借卓越的健康理念,顶级的环保品质以及独特的匠心设...
149
喊话周冬雨:布总你的省钱新发型火了,理发店应接不暇,你知道吗 第一次认识周冬雨,是在《七月与安生》里,开朗活泼的她,充满激情,小小的个子,却蕴藏着超大的爆发力。关注...
143
高颜值韩国腐剧大盘点,那些你不知道的基情,腐女看过来 请注意,高颜值韩国腐剧大盘点,腐女看过来 作为众多腐女中的一员,想要给大家推荐几部高颜值的韩国腐剧。这几年,美...