这些书画作品太精彩!快围观吧……
5月20日下午,县文联、县书法家协会在东关翰林书画院开展“赶考路上有我·描绘出彩中原”主题书法绘画作品展示活动。

本次书法绘画作品展以书言志、以画寄情,着力突出“赶考路上有我”时代主题,通过图文并茂的形式充分展现新时代发生的新变化,绘就出一个生机勃勃、发展进步、和谐美丽、生活幸福、生态宜居的新时代。

此次展出的作品内容丰富、形式多样,或情注时代发展、描绘沧桑巨变,或聚焦人民福祉、定格动人瞬间,一幅幅风格迥异,或秀气、或端庄、或苍劲、或古朴的书画作品,吸引了现场群众的驻足夸赞。
翰林书画院的老师也带领学生欣赏了这些不同时期、不同风格的书法绘画作品。学生们纷纷表示,通过观赏书画作品,更加提升了审美和鉴赏能力,同时也以书启智、以画陶情,激发了书写绘画兴趣。
温县融媒体中心记者 黄福兴 张娇 实习生 刘旭盈 报道
作品展

晁召永作品

陈弼华作品

陈昭华作品

董顺星作品

段宝瑜作品

李爱民作品

李敏作品

李诗雨作品

李永胜作品

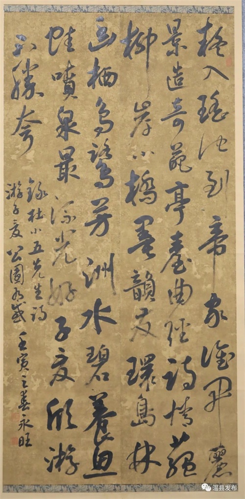
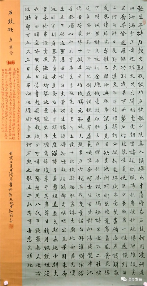
李永旺作品

李永旺作品

刘建国作品

乔和平作品

任继华作品

王安文作品

王二安作品

王飞作品

王红作品

王红占作品

王清华作品

王帅作品

王天喜作品

原太顺作品

张瑞林作品

张喜文作品

张喜文作品

赵琪琪作品

赵清平作品

赵信作品

赵信一作品
标签:
99
缓解耳鸣的办法 怎样缓解耳鸣应该用些什么药 耳鸣是指患者主观上在耳内或颅内有声音感觉,但外界并无相应的声源存在。官兵在训练、工作中经常会受到巨大噪音的影响,如实弹射...
201
yyds什么意思(YYDS是什么意思,YYDS缩写的含义是什么?) YYDS是一种网络用语,常用于表达对某人或某事的赞扬、认同或敬意。YYDS的全称是“牛逼啊,有意思”,通常用于表达对某人或某...
127
张裕白兰地属于什么酒 张裕白兰地属于什么酒类 白兰地是起源于法国的一种烈性葡萄酒,在多种白兰地中法国的品质最佳,其中又以其干邑、阿尔玛涅克地区的产品最佳,干邑是世界...
177
天然气的密度是多少 天然气的密度在1个大气压条件下为0.7174Kg/m3,相对密度为0.5548。天然气的主要成分为甲烷,它是一种无色无味无毒的气体,主要蕴藏在地下多孔隙岩层中,是一种优...
88
雪莲果是地瓜吗,是哪里的特产 一、是地瓜吗 雪莲果不是地瓜,不过从外表看的话是很相似的,但并不属于同一种植物。雪莲果的外皮比红薯要光滑一点,里面含有的水分也比较多。...
129
仙客来放在什么地方好,放卧室好不好 一、仙客来放在什么地方好 1、客厅:仙客来适合放在客厅,不管是从植株的生长角度看,还是从寓意上都很合适。从生长角度看,客厅通风好,...
72
倒挂金钟怎样扦插 1、扦插时间 在给它扦插的时候,除了夏天休眠期外,其他时间都可进行,但是以每年的4月份最佳。因为此时正是生长旺盛期,其成活率较高。 2、选择插穗 在选择插...
140
风车茉莉的毒性大吗 1、风车茉莉是什么 它就是我们常说的“络石”。从外观来看,它是非常有趣的。尤其是它的花朵,长得跟风车的扇片一般。于是,它就因此而得名了。不过,别看...
74
荷花简介,荷花是什么季节开的 1.荷花简介 荷花是中国的十大名花之一,它又名莲花、水芙蓉等,属于睡莲科目,是莲科的多年水生草本花卉。 形态特征:荷花是水生植物,根茎内部...
192
博山供暖大厅服务电话是多少 博山供暖大厅服务电话查询 其实对于北方人而言,冬天下雪并不可怕,可怕的是没有供暖,因为北方的冬天特别的寒冷,要是没有冷气,真的非常难熬的...
74
多肉奥普琳娜夏天怎么过 一、适当遮阴 奥普琳娜到了夏季,首先要做好遮阴工作,避免植株受到强光照射。由于此时是它的休眠期,如果持续被暴晒,叶子很容易化水,而且还有黑腐...
55
滴水观音如何分株,滴水观音分株上盆后需浇水吗 一、如何分株 1、时间选择:滴水观音进行分株,要想保证成活率,周边的温度要保持在18-20摄氏度左右,可选在每年的春夏秋三个季...
175
春晓的诗意 古诗横溪堂春晓注音版 一、《春晓》的诗意 《春晓》的诗意:春夜酣睡天亮了也不知道,到处是鸟儿清脆的叫声。想起昨夜里风声紧雨声潇潇,不知吹落了多少芳香的春花...
84
淘宝网怎么注册店铺 想开网店, 来自 自己当老板,但是却不知道怎么开,会不会很麻烦?其实在淘宝网注册店铺是很简单的。以下给大家介绍淘宝网怎么注册店铺。 材料/工具 360浏览...
79
旅行笑话段子(笑话免费旅行) 笑话一:有一个人去旅行社,他想要去旅行,旅行社的金牌顾问很热情的接待了他,当他介绍完了自己的方案以后,只听男人说道,“有没有比较优惠的...
131
医院喷的消毒水是什么水 医院喷的消毒水是什么牌子 目前医院常用的消毒水有过氧乙酸,将过氧乙酸调制成0.2%~0.3%的水溶液喷雾,就可以对医院室内喷洒消毒;DCW次氯酸溶液目前也经...
94
医用口罩改儿童口罩 一次性口罩做成儿童口罩 医用口罩主要材质为无纺布,因此要准备无纺布以及其他缝制材料。准备三块无纺布,根据实际面部大小进行裁剪和缝合,两边缝制挂耳...
187
教你怎样折爱心 想要教小朋友折手工?小编来教你怎样折爱心。 方法 一张正方形纸延对角线折起,再沿三角形的中线对折,展开,形成一个十字架 延痕迹折起,将一边的脚对齐,使其...
170
龟背竹现在能换土吗(四季养护) 一、现在能换土吗 现在虽然已经是二月份了,但是天气还是比较寒冷,特别是南方地区屋内没有暖气更是冻得让人瑟瑟发抖。所以对于植物现在是推...
160
凤仙花怎么养(家庭养法) 一、养殖方法 1、光照:它是喜欢光照的植物,在家里养殖的时候要放在光线处每天让它晒晒太阳才行,每天最少要让它见光4个小时以上。但注意夏季的光线...