拉马努金恒等式,一个初中生能看懂并能证明的神奇公式
拉马努金恒等式,一个初中生能看懂并能证明的神奇公式

-01-拉马努金恒等式
2016年4月8日在英国上映了一部名叫《知无涯者》的电影。电影讲述了印度数学家斯里尼瓦瑟·拉马努金(1887.12.22~1920.4.26),
短暂而传奇的一生。拉马努金出生贫寒,没有受过专门的数学训练,但天资聪颖,完全靠自学。直到1913年,得到英国数学家哈代的赏识,他的数学才华大放异彩。但他不同于传统意义上数学家,他的成果往往是凭直觉得到,只有结论,而没有证明。他短暂的一生发现了3900条数学公式和命题,许多结果完全是新颖的、原始的和非传统的,但被后续证明他的结论都是正确的。
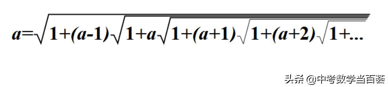
本文要介绍的这个恒等式,就是拉马努金流传最广的成果之一。先看这个恒等式的一边:

我相信大多数人能按照这个式子的规律接着写下去,但会发现这是无穷尽的,并且很好奇这个式子的结果到底是多少?
拉马努金说,这个式子的结果等于3。
他对形如上式的无穷二次根式,进行深入研究得到这个结果,并且将此发表在《印度数学会刊》上征集证明,数月内无人能应。

-02-拉马努金恒等式的数学逻辑
下面我们以今天中学生的认知来看其中的数学逻辑:
3=√9。。。。。一层根号
=√1+8
=√1+2x4
=√1+2√16。。。。二层根号
=√1+2√1+15
=√1+2√1+3x5
=√1+2√1+3√25。。三层根号
=√1+2√1+3√1+24
=√1+2√1+3√1+4x6
=√1+2√1+3√1+4√36。四层根号
。。。。。。
由此不难发现:将3拆分后,含n层根号时,3=
√1+2√1+。。。n√(n+2)²
。。。n层根号
验证一下,n=10时(由外向内数,含10层根号),壮观景象:

第10层根号里的数:
12²=144;
第9层根号里的数:
11²=121;
第8层根号里的数:
10²=100;
。。。
第3层根号里的数:
5²=25;
第2层根号里的数:
4²=144;
第1层根号里的数:
3²=9;
√9=3
理所当然是个恒等式。
-03-拉马努金恒等式的数学证明
问题来了,正整数3可以象这样用二次根式进行无穷拆分,那么其他正整数呢?他是怎么想到了呢?
平方差公式是初中代数中的最基本的公式之一:
a²-1=(a-1)(a+1);
变形得
a²=1+(a-1)(a+1);
即
a=√1+(a-1)(a+1)。
建立一个关于a的函数:
F(a)=a=√1+(a-1)(a+1),则
F(a+1)=a+1
=√1+(a+1-1)(a+1+1)
=√1+a(a+2)
=√1+aF(a+2),
F(a+2)=a+2
=√1+(a+2-1)(a+2+1)
=√1+(a+1)(a+3)
=√1+(a+1)F(a+3),
F(a+3)=a+3
=√1+(a+3-1)(a+3+1)
=√1+(a+2)(a+4)
=√1+(a+2)F(a+4),
...
F(a+n)=a+n
=√1+(a+n-1)(a+n+1)
=√1+(a+n-1)F(a+n+1),
...
通过层层嵌套,得到
F(a)=√1+(a-1)F(a+1)
=√1+(a-1)√1+aF(a+2)
=√1+(a-1)√1+a√1+(a+1)F(a+3)
...
=√1+(a-1)√1+a√1+(a+1)√1+(a+2)√1+。。。
即

其中,a为正整数。
当a=2时,得到

当a=3时,得到

当a=4时,得到

由此,可以把任意一个正整数,用二次根式有规律地无穷展开。
所以拉马努金恒等式,更一般的形式是:

-04-结语
利用平方差公式和函数嵌套(复合函数)的思想,可以来说明他的正确性。虽然初中不提函数嵌套(复合函数)这种说法,但“整体思想”已经具备其雏形,所以上述证明过程,数学程度稍好的同学也可以看懂。
拉马努金没有受过正规的高等数学教育,但他靠自学沉湎于数论,尤其钟爱涉及π、质数等数学常数的求和公式和整数分拆。特别是他对数的直觉(数感)常常令人称奇,以至于亦师亦友的哈代感叹说:“我们学习数学,拉马努金则发现并创造了数学。”

标签:
217
纪念“九一八”事件92周年 我去过二次卢沟桥,第一次是2011年的5月,那时候和公司里的小伙伴们从北京CBD坐地铁转公交到了宛平县城,去实地考察一家对韩贸易公司。他们做的是出口...
177
20个“逆天”吉尼斯世界纪录,一个比一个奇葩,看完感觉知识大涨 在阅读此文之前,麻烦您点击一下“关注”,既方便您进行讨论和分享,又能给您带来不一样的参与感,感谢您的支...
155
天秤座的15条特征,你中了几条? 脚本/ 醋醋 统筹/ 甜橙 制作/ 蚊子 制作/ 五毛君 催稿专员/ 靓仔青 十二星座每日运势 白羊座 爱情运有起伏,有问题不妨说出来,多能得到谅解的;事...
170
离婚不离家真的好吗?其实这蕴含着巨大的法律风险 现在的社会都在追求快捷,高效,慢慢地离婚也变得越来越快,离婚率变得越来越高。 在离婚变成家常便饭的同时,离婚后夫妻双...
152
当心吉普赛人!罗马地铁广播引巨大争议 昨天(10日),罗马不少市民在乘坐A线地铁时,听到车厢广播添加了温馨提示——“当心吉普赛人”。 意大利Tgcom24网报道,在意大利有不少以“...
253
“推迟”是delay,那“提前”的英文怎么说? 很多人知道“推迟”用英文怎么说,但不知道“提前”怎么说。 悄悄地问各位女生一个问题,你们平时最紧张的大姨妈「提前」或者「推迟...
90
我们村中有人家庭败落,村子里的三姑六婆说都怪她春节回娘家过年 #今年春节回家过年吗# 我们这边有个不成文的规矩,那就是出嫁了的女儿绝对不允许回娘家过年。 这是老一辈的人...
98
央视今日首播,职场情感大剧《玫瑰之战》来了,袁泉黄晓明主演 央视八套今晚将要播出,袁泉、黄晓明主演的职场情感大剧《玫瑰之战》。 腾讯视频也将播出这部40集大剧。 一,《...
99
原来正月廿二也是节!老话:做好一件事,安康一整年,老传统别忘 自家账号@纳兰南汐,各位小主帮忙点点关注呗,谢啦! 随着时间一天天过去,过年的热闹气氛似乎慢慢消散了,不...
165
为国争光的王小云:孕期破解美国两大密码,荣登中国科学院院士 努力是很多人取得成功的关键,但是在数学这个领域,天赋似乎比努力更加重要,对多数人来说复杂难解的问题,在少...
98
德鲁克经典著作简读 彼得·德鲁克(Peter F. Drucker,1909.11.19~2005.11.11),现代管理学之父,大师中的大师,其著作影响了数代追求创新以及最佳管理实践的学者和企业家们,各类商业管理...
91
那些上过《男人装》的女明星,唐嫣马苏刘诗诗 作者:孟大明白 本文来自微信号mengdaminbai 贫乳组 必须有周公子了,她拍了多次《男人装》,每次都不裸露。 和徐老怪凑一起完全是为了...
181
《鬼吹灯》整本故事概览 人点烛,鬼吹灯.相信这是所有灯迷们印象最深的一句话.今天,我们就概括下《鬼吹灯》系列共8部的主线故事. 鬼吹灯 清朝末年,一代奇人张三链子拥有三枚摸金符...
346
无法访问 您可能没有权限使用网络资源的3大解决方法!教你解决 最近有位朋友在使用电脑的时候,想要进行文件共享,但是却出现了错误,电脑提示“无法访问 你可能没有权限使用网...
99
科学发展|武汉大学开发新的方法,更好地检测R环在基因组的形成 R环是独特的三链结构,其参与多个关键的生物学过程,并且与人类疾病有关。准确而全面的R环分析是R环研究的前提...
153
《至此终年》师生恋,从头至尾都弥漫着忧伤的爱情故事,结尾和 嗨大家好:我是阿莎节,你们的小可爱带着热乎乎的小说文案来了。喜欢的宝宝们记得关注这样就不会错过啦;感谢大...
180
直击“郧县人”3号头骨化石提取现场!中国百万年人类演化史再添实证 中央广播电视总台发布 2022年度国内十大考古新闻 2022年度国际十大考古新闻 “中国湖北发现100万年前 郧县人头...
221
盘点两会工作报告中我国近五年取得重大科技创新成果和突破(二) 引言 3月5日,十四届全国人大一次会议中政府工作报告中指出:近五年来,我国一些核心技术攻关取得新突破,载人...
152
女人过了40岁,穿衣要有档次!15套秋冬穿搭,高端大气上档次 很多人都说40岁的男人一枝花,但在我看来,女人更是一朵娇艳的花。女人到了40岁就是一个分水岭,我们已经褪去了少女...
215
《乡爱》空降为女一号,《刘老根》变身老总,马心怡被赵本山力捧 文 | 烤娱 离开小品舞台和电视荧屏后,赵本山并没有真正享受退休生活,而是在网剧领域掀起一股新风潮。《乡村...